应用113B26测量柴油机燃油喷射动量变化率
喷射率和动量变化率是描述喷油嘴喷射过程的重要特征量,喷射率是指单位时间内流过喷油嘴的燃油质量,用于精确表征发动机工作过程中燃油进入气缸的瞬态量,动量变化率用于描述燃油的混合程度。例如,动量变化率越高,则油气混合速度就能越快。此外,喷射率也是发动机流体仿真动力学(CFD)的重要输入参数,结合动量变化率,喷嘴流量系数,可以更好地表示喷油嘴的边界条件。
过去通常用喷油嘴排气速度曲线来表征喷射率,也就是博世法(Bosch method),而动量变化率通常通过冲击技术来测量,将燃油喷射到压电传感器的表面测量其动态冲击力。喷射率也可以由喷射出的燃油混合液的质量及其动量变化率推算得出,两者的时域曲线是相似的。对于博世法,测量动态变化率是更好的选择,因为可以得到更多信息。结合总喷射量的测量,还可以通过动量变化率定量喷油嘴流量系数。
背景知识
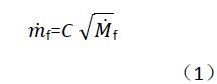
喷油嘴喷管流量通常由动量变化率来表述,定义
为动量变化率,
为喷射率,喷油嘴流量系数如排气量Cd,速率Cv,收缩面积Ca,在这个应用中,动量变化率是通过冲击技术来测量的,然后推算出喷射率,因为两者的时域谱曲线是相同的,如式(1)所示。
通过测量总喷射量m,喷油嘴数量为N,喷孔数量为nholes,单个喷油孔的喷射率为:

于是可推算出C,

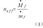
有效速率为ueff,表示燃油混合气喷离喷油孔的速度,可如下式表述:

理论速率uth,燃油混合气喷离喷油孔的速度,可由喷油压力Pinj,环境压力Pamb,燃料密度ρf,根据伯努利方程: 
定义速度系数为:

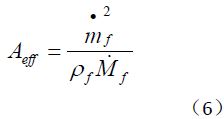
速度系数表示燃油流速损失(由于燃油粘性,湍流以及空化效应),同样地,定义有效流动面积为Aeff:

面积收缩系数为:

Ageo为喷射孔的几何面积,面积系数是指孔流或空穴流动面积缩小,所以流量系数可定义为:

代表通过喷嘴后减少的燃油质量,请注意此分析只适用于喷射期间准稳定部分。
传感器选择
牛顿第二定律指出,物体动量的变化率等于作用在物体上所有外力的合力,即
,在碰撞现象中,物体动量的改变尤为明显。想要测量动量变化率,只需要测量物体受到的外力即可,通常情况下,动态力传感器和压力传感器都是很好的选择。
选择传感器时,三个参数尤为关键,即轴向加速度灵敏度,共振频率和温度灵敏度。轴向加速度灵敏度是指当传感器的敏感元件受到轴向加速时会产生错误的信号,谐振频率fn是指传感器响应频率的上限,事实上,通常fn/5频响时会有5%的偏离,该值被当作传感器的上限响应频率。假如一个冲击力频率非常快,可能会激起传感器共振而产生错误的信号,假设一个传感器的谐振频率为50kHz,需要冲击力的频率为1/(fn/5)=100μs时,才能激起传感器共振产生错误信号。由于大部分喷油嘴的开闭都非常快(打开时间在100μs左右),所以有激起传感器共振的可能性。其次,温度灵敏度指当传感器受到外围高温时会产生数据漂移的现象,这个参数非常重要,因为动量变化率测量通常都是在超过100℃的环境中进行。
传感器安装
| 传感器安装如右所示,将测量动量变化率的冲击传感器安装在喷射轴线上,传感器的敏感面与喷射轴线垂直,并与喷孔距离5mm。通过113B26测量出喷射压力,再将压力乘以传感器的膜片面积,既可得到喷射动态冲击力。
|
 |
PCB®113B26传感器介绍
PCB®全系列压电式压力传感器具有快速、微秒级的响应范围,且可测量幅值和频响宽,能应用于高温,高频响应的测试中,包括压缩、脉动、浪涌、液压与气压波动、高强度声音、流体噪声检测、振动与爆炸冲击波、弹道、爆炸元件测试(如雷管、爆炸螺栓)、封闭的炸弹威力研究以及其它动态压力测试。
|
113B26主要应用:
- 燃烧研究
- 爆炸零件测试
- 安全气囊测试
- 爆炸冲击波检测
|
主要参数:
- 量程:3450kPa
- 谐振频率:≥500kHz
- 加速度灵敏度:≤0.0013kPa/(m/s2)
- 温度范围:-73- +135℃
- 放电时间常数:≥50 Sec
|
点击了解113B26详细参数 |
更多应用相关技术信息,请咨询PCB®汽车应用工程师River Zhang探讨:rzhang@pcb.com,更多PCB®传感器信息,请登录官网www.pcb.com浏览。
参考文献: March 2016 Vol.138 作者:Benjamin W.Knox, Michael J.Franze, Caroline L.Genzale
点击返回技术信息页面